Boosting
1.boosting集成原理
1.1 什么是boosting
.548decaf.png)
随着学习的积累从弱到强
简而言之:每新加入一个弱学习器,整体能力就会得到提升
代表算法:Adaboost,GBDT,XGBoost
1.2 实现过程:
1.训练第一个学习器
.dce43526.png)
2.调整数据分布
.22648c51.png)
3.训练第二个学习器
.5c76fb05.png)
4.再次调整数据分布
.d078e215.png)
5.依次训练学习器,调整数据分布
.254ae169.png)
6.整体过程实现
.15d3b0cb.png)
关键点:
如何确认投票权重?
如何调整数据分布?
.b1b65ba1.png)
.2f193776.png)
AdaBoost的构造过程小结
.a6704290.png)
bagging集成与boosting集成的区别:
区别一:数据方面
Bagging:对数据进行采样训练;
Boosting:根据前一轮学习结果调整数据的重要性。
区别二:投票方面
Bagging:所有学习器平权投票;
Boosting:对学习器进行加权投票。
区别三:学习顺序
Bagging的学习是并行的,每个学习器没有依赖关系;
Boosting学习是串行,学习有先后顺序。
区别四:主要作用
Bagging主要用于提高泛化性能(解决过拟合,也可以说降低方差)
Boosting主要用于提高训练精度 (解决欠拟合,也可以说降低偏差)
.992eb2c8.png)
1.3 api介绍
- from sklearn.ensemble import AdaBoostClassifier
2 GBDT(了解)
梯度提升决策树(GBDT Gradient Boosting Decision Tree) 是一种迭代的决策树算法,**该算法由多棵决策树组成,所有树的结论累加起来做最终答案。**它在被提出之初就被认为是泛化能力(generalization)较强的算法。近些年更因为被用于搜索排序的机器学习模型而引起大家关注。
GBDT = 梯度下降 + Boosting + 决策树
2.1 梯度的概念(复习)
.d2f2e435.png)
.dbf4b33e.png)
.3a16a6f3.png)
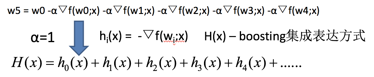
2.2 GBDT执行流程
.eb0c5989.png)
如果上式中的hi(x)=决策树模型,则上式就变为:
GBDT = 梯度下降 + Boosting + 决策树
2.3 案例
预测编号5的身高:
| 编号 | 年龄(岁) | 体重(KG) | 身高(M) |
|---|---|---|---|
| 1 | 5 | 20 | 1.1 |
| 2 | 7 | 30 | 1.3 |
| 3 | 21 | 70 | 1.7 |
| 4 | 30 | 60 | 1.8 |
| 5 | 25 | 65 | ? |
第一步:计算损失函数,并求出第一个预测值:
.fda9ad24.png)
第二步:求解划分点
.78590633.png)
得出:年龄21为划分点的方差=0.01+0.0025=0.0125
第三步:通过调整后目标值,求解得出h1(x)
.3fdb305a.png)
第四步:求解h2(x)
.5b68cfc7.png)
… …
得出结果:
编号5身高 = 1.475 + 0.03 + 0.275 = 1.78
2.4 GBDT主要执行思想
1.使用梯度下降法优化代价函数;
2.使用一层决策树作为弱学习器,负梯度作为目标值;
3.利用boosting思想进行集成。
3.XGBoost【了解】
XGBoost= 二阶泰勒展开+boosting+决策树+正则化
- 面试题:了解XGBoost么,请详细说说它的原理
回答要点:二阶泰勒展开,boosting,决策树,正则化
Boosting:XGBoost使用Boosting提升思想对多个弱学习器进行迭代式学习
二阶泰勒展开:每一轮学习中,XGBoost对损失函数进行二阶泰勒展开,使用一阶和二阶梯度进行优化。
决策树:在每一轮学习中,XGBoost使用决策树算法作为弱学习进行优化。
正则化:在优化过程中XGBoost为防止过拟合,在损失函数中加入惩罚项,限制决策树的叶子节点个数以及决策树叶子节点的值。
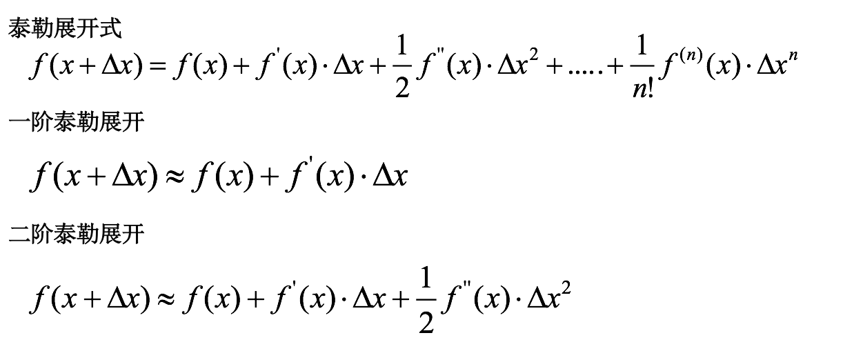
4 什么是泰勒展开式【拓展】
.116c2e5a.png)
泰勒展开越多,计算结果越精确