基本操作
1 生成数组的方法
1.1 生成 0 和 1 的数组
- np.ones(shape, dtype)
- np.ones_like(a, dtype)
- np.zeros(shape, dtype)
- np.zeros_like(a, dtype)
ones = np.ones([4,8])
onesones = np.ones([4,8])
ones返回结果:
array([[1., 1., 1., 1., 1., 1., 1., 1.],
[1., 1., 1., 1., 1., 1., 1., 1.],
[1., 1., 1., 1., 1., 1., 1., 1.],
[1., 1., 1., 1., 1., 1., 1., 1.]])array([[1., 1., 1., 1., 1., 1., 1., 1.],
[1., 1., 1., 1., 1., 1., 1., 1.],
[1., 1., 1., 1., 1., 1., 1., 1.],
[1., 1., 1., 1., 1., 1., 1., 1.]])np.zeros_like(ones)np.zeros_like(ones)返回结果:
array([[0., 0., 0., 0., 0., 0., 0., 0.],
[0., 0., 0., 0., 0., 0., 0., 0.],
[0., 0., 0., 0., 0., 0., 0., 0.],
[0., 0., 0., 0., 0., 0., 0., 0.]])array([[0., 0., 0., 0., 0., 0., 0., 0.],
[0., 0., 0., 0., 0., 0., 0., 0.],
[0., 0., 0., 0., 0., 0., 0., 0.],
[0., 0., 0., 0., 0., 0., 0., 0.]])1.2 从现有数组生成
1.2.1 生成方式
- np.array(object, dtype)
- np.asarray(a, dtype)
a = np.array([[1,2,3],[4,5,6]])
# 从现有的数组当中创建
a1 = np.array(a)
# 相当于索引的形式,并没有真正的创建一个新的
a2 = np.asarray(a)a = np.array([[1,2,3],[4,5,6]])
# 从现有的数组当中创建
a1 = np.array(a)
# 相当于索引的形式,并没有真正的创建一个新的
a2 = np.asarray(a)1.2.2 关于 array 和 asarray 的不同
 (1) (1) (1) (1) (1) (1) (1).e2c0ede2.png)
1.3 生成固定范围的数组
1.3.1 np.linspace (start, stop, num, endpoint)
- 创建等差数组 — 指定数量
- 参数:
- start:序列的起始值
- stop:序列的终止值
- num:要生成的等间隔样例数量,默认为 50
- endpoint:序列中是否包含 stop 值,默认为 ture
# 生成等间隔的数组
np.linspace(0, 100, 11)# 生成等间隔的数组
np.linspace(0, 100, 11)返回结果:
array([ 0., 10., 20., 30., 40., 50., 60., 70., 80., 90., 100.])array([ 0., 10., 20., 30., 40., 50., 60., 70., 80., 90., 100.])1.3.2 np.arange(start,stop, step, dtype)
- 创建等差数组 — 指定步长
- 参数
- step:步长,默认值为 1
np.arange(10, 50, 2)np.arange(10, 50, 2)返回结果:
array([10, 12, 14, 16, 18, 20, 22, 24, 26, 28, 30, 32, 34, 36, 38, 40, 42,
44, 46, 48])array([10, 12, 14, 16, 18, 20, 22, 24, 26, 28, 30, 32, 34, 36, 38, 40, 42,
44, 46, 48])1.3.3 np.logspace(start,stop, num)
- 创建等比数列
- 参数:
- num:要生成的等比数列数量,默认为 50
# 生成10^x
np.logspace(0, 2, 3)# 生成10^x
np.logspace(0, 2, 3)返回结果:
array([ 1., 10., 100.])array([ 1., 10., 100.])1.4 生成随机数组
1.4.1 使用模块介绍
- np.random 模块
1.4.2 正态分布
一、基础概念复习:正态分布(理解)
a. 什么是正态分布
正态分布是一种概率分布。正态分布是具有两个参数 μ 和 σ 的连续型随机变量的分布,第一参数 μ 是服从正态分布的随机变量的均值,第二个参数 σ 是此随机变量的方差,所以正态分布记作N(μ,σ )。
 (1) (1) (1) (1) (1) (1) (1).5e302674.png)
b. 正态分布的应用
生活、生产与科学实验中很多随机变量的概率分布都可以近似地用正态分布来描述。
c. 正态分布特点
μ 决定了其位置,其标准差 σ决定了分布的幅度。当 μ = 0,σ = 1 时的正态分布是标准正态分布。
标准差如何来?
- 方差
是在概率论和统计方差衡量一组数据时离散程度的度量
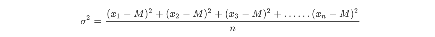
 (1) (1) (1) (1) (1) (1) (1).b4fe3bbd.png)
其中 M 为平均值,n 为数据总个数,σ 为标准差,σ ^2 可以理解一个整体为方差
 (1) (1) (1) (1) (1) (1) (1).86a703eb.png)
- 标准差与方差的意义
可以理解成数据的一个离散程度的衡量
 (1) (1) (1) (1) (1).d7f13f9a.png)
二、正态分布创建方式
np.random.randn(d0, d1, …, dn)
功能:从标准正态分布中返回一个或多个样本值
np.random.normal(loc=0.0, scale=1.0, size=None)
loc:float
此概率分布的均值(对应着整个分布的中心 centre)
scale:float
此概率分布的标准差(对应于分布的宽度,scale 越大越矮胖,scale 越小,越瘦高)
size:int or tuple of ints
输出的 shape,默认为 None,只输出一个值
np.random.standardnormal(_size=None)
返回指定形状的标准正态分布的数组。
举例 1:生成均值为 1.75,标准差为 1 的正态分布数据,100000000 个
x1 = np.random.normal(1.75, 1, 100000000)x1 = np.random.normal(1.75, 1, 100000000)返回结果:
array([2.90646763, 1.46737886, 2.21799024, ..., 1.56047411, 1.87969135,
0.9028096 ])array([2.90646763, 1.46737886, 2.21799024, ..., 1.56047411, 1.87969135,
0.9028096 ])# 生成均匀分布的随机数
x1 = np.random.normal(1.75, 1, 100000000)
# 画图看分布状况
# 1)创建画布
plt.figure(figsize=(20, 10), dpi=100)
# 2)绘制直方图
plt.hist(x1, 1000)
# 3)显示图像
plt.show()# 生成均匀分布的随机数
x1 = np.random.normal(1.75, 1, 100000000)
# 画图看分布状况
# 1)创建画布
plt.figure(figsize=(20, 10), dpi=100)
# 2)绘制直方图
plt.hist(x1, 1000)
# 3)显示图像
plt.show() (1) (1) (1) (1) (1).fd9c9ed9.png)
例如:我们可以模拟生成一组股票的涨跌幅的数据
举例 2:随机生成 4 支股票 1 周的交易日涨幅数据
4 支股票,一周(5 天) 的涨跌幅数据,如何获取?
- 随机生成涨跌幅在某个正态分布内,比如均值 0,方差 1
股票涨跌幅数据的创建
# 创建符合正态分布的4只股票5天的涨跌幅数据
stock_change = np.random.normal(0, 1, (4, 5))
stock_change# 创建符合正态分布的4只股票5天的涨跌幅数据
stock_change = np.random.normal(0, 1, (4, 5))
stock_change返回结果:
array([[ 0.0476585 , 0.32421568, 1.50062162, 0.48230497, -0.59998822],
[-1.92160851, 2.20430374, -0.56996263, -1.44236548, 0.0165062 ],
[-0.55710486, -0.18726488, -0.39972172, 0.08580347, -1.82842225],
[-1.22384505, -0.33199305, 0.23308845, -1.20473702, -0.31753223]])array([[ 0.0476585 , 0.32421568, 1.50062162, 0.48230497, -0.59998822],
[-1.92160851, 2.20430374, -0.56996263, -1.44236548, 0.0165062 ],
[-0.55710486, -0.18726488, -0.39972172, 0.08580347, -1.82842225],
[-1.22384505, -0.33199305, 0.23308845, -1.20473702, -0.31753223]])1.4.2 均匀分布
- np.random.rand(d0, d1, ..., dn)
- 返回**[0.0,1.0)**内的一组均匀分布的数。
- np.random.uniform(low=0.0, high=1.0, size=None)
- 功能:从一个均匀分布[low,high)中随机采样,注意定义域是左闭右开,即包含 low,不包含 high.
- 参数介绍:
- low: 采样下界,float 类型,默认值为 0;
- high: 采样上界,float 类型,默认值为 1;
- size: 输出样本数目,为 int 或元组(tuple)类型,例如,size=(m,n,k), 则输出 m_n_k 个样本,缺省时输出 1 个值。
- 返回值:ndarray 类型,其形状和参数 size 中描述一致。
- np.random.randint(low, high=None, size=None, dtype='l')
- 从一个均匀分布中随机采样,生成一个整数或 N 维整数数组,
- 取数范围:若 high 不为 None 时,取[low,high)之间随机整数,否则取值[0,low)之间随机整数。
# 生成均匀分布的随机数
x2 = np.random.uniform(-1, 1, 100000000)# 生成均匀分布的随机数
x2 = np.random.uniform(-1, 1, 100000000)返回结果:
array([ 0.22411206, 0.31414671, 0.85655613, ..., -0.92972446,
0.95985223, 0.23197723])array([ 0.22411206, 0.31414671, 0.85655613, ..., -0.92972446,
0.95985223, 0.23197723])画图看分布状况:
import matplotlib.pyplot as plt
# 生成均匀分布的随机数
x2 = np.random.uniform(-1, 1, 100000000)
# 画图看分布状况
# 1)创建画布
plt.figure(figsize=(10, 10), dpi=100)
# 2)绘制直方图
plt.hist(x=x2, bins=1000) # x代表要使用的数据,bins表示要划分区间数
# 3)显示图像
plt.show()import matplotlib.pyplot as plt
# 生成均匀分布的随机数
x2 = np.random.uniform(-1, 1, 100000000)
# 画图看分布状况
# 1)创建画布
plt.figure(figsize=(10, 10), dpi=100)
# 2)绘制直方图
plt.hist(x=x2, bins=1000) # x代表要使用的数据,bins表示要划分区间数
# 3)显示图像
plt.show() (1) (1) (1) (1) (1).3e7d6b97.png)
2 数组的索引、切片
一维、二维、三维的数组如何索引?
- 直接进行索引,切片
- 对象[:, :] -- 先行后列
二维数组索引方式:
- 举例:获取第一个股票的前 3 个交易日的涨跌幅数据
# 二维的数组,两个维度
stock_change[0, 0:3]# 二维的数组,两个维度
stock_change[0, 0:3]返回结果:
array([-0.03862668, -1.46128096, -0.75596237])array([-0.03862668, -1.46128096, -0.75596237])- 三维数组索引方式:
# 三维
a1 = np.array([ [[1,2,3],[4,5,6]], [[12,3,34],[5,6,7]]])
# 返回结果
array([[[ 1, 2, 3],
[ 4, 5, 6]],
[[12, 3, 34],
[ 5, 6, 7]]])
# 索引、切片
>>> a1[0, 0, 1] # 输出: 2# 三维
a1 = np.array([ [[1,2,3],[4,5,6]], [[12,3,34],[5,6,7]]])
# 返回结果
array([[[ 1, 2, 3],
[ 4, 5, 6]],
[[12, 3, 34],
[ 5, 6, 7]]])
# 索引、切片
>>> a1[0, 0, 1] # 输出: 23 形状修改
3.1 ndarray.reshape(shape, order)
- 返回一个具有相同数据域,但 shape 不一样的视图
- 行、列不进行互换
# 在转换形状的时候,一定要注意数组的元素匹配
stock_change.reshape([5, 4])
stock_change.reshape([-1,10]) # 数组的形状被修改为: (2, 10), -1: 表示通过待计算# 在转换形状的时候,一定要注意数组的元素匹配
stock_change.reshape([5, 4])
stock_change.reshape([-1,10]) # 数组的形状被修改为: (2, 10), -1: 表示通过待计算3.2 ndarray.resize(new_shape)
- 修改数组本身的形状(需要保持元素个数前后相同)
- 行、列不进行互换
stock_change.resize([5, 4])
# 查看修改后结果
stock_change.shape
(5, 4)stock_change.resize([5, 4])
# 查看修改后结果
stock_change.shape
(5, 4)3.3 ndarray.T
- 数组的转置
- 将数组的行、列进行互换
stock_change.T.shape
(4, 5)stock_change.T.shape
(4, 5)4 类型修改
4.1 ndarray.astype(type)
- 返回修改了类型之后的数组
stock_change.astype(np.int32)stock_change.astype(np.int32)4.2 ndarray.tostring([order])或者 ndarray.tobytes([order])
- 构造包含数组中原始数据字节的 Python 字节
arr = np.array([[[1, 2, 3], [4, 5, 6]], [[12, 3, 34], [5, 6, 7]]])
arr.tostring()arr = np.array([[[1, 2, 3], [4, 5, 6]], [[12, 3, 34], [5, 6, 7]]])
arr.tostring()4.3 jupyter 输出太大可能导致崩溃问题【了解】
如果遇到
IOPub data rate exceeded.
The notebook server will temporarily stop sending output
to the client in order to avoid crashing it.
To change this limit, set the config variable
`--NotebookApp.iopub_data_rate_limit`.IOPub data rate exceeded.
The notebook server will temporarily stop sending output
to the client in order to avoid crashing it.
To change this limit, set the config variable
`--NotebookApp.iopub_data_rate_limit`.这个问题是在 jupyer 当中对输出的字节数有限制,需要去修改配置文件
创建配置文件
jupyter notebook --generate-config
vi ~/.jupyter/jupyter_notebook_config.pyjupyter notebook --generate-config
vi ~/.jupyter/jupyter_notebook_config.py取消注释,多增加
## (bytes/sec) Maximum rate at which messages can be sent on iopub before they
# are limited.
c.NotebookApp.iopub_data_rate_limit = 10000000## (bytes/sec) Maximum rate at which messages can be sent on iopub before they
# are limited.
c.NotebookApp.iopub_data_rate_limit = 10000000但是不建议这样去修改,jupyter 输出太大会崩溃
5 数组的去重
5.1 np.unique()
temp = np.array([[1, 2, 3, 4],[3, 4, 5, 6]])
>>> np.unique(temp)
array([1, 2, 3, 4, 5, 6])temp = np.array([[1, 2, 3, 4],[3, 4, 5, 6]])
>>> np.unique(temp)
array([1, 2, 3, 4, 5, 6])